🔍JEE Oscillation PYQs (Ch‑14) – Previous Year Questions with Solutions
Welcome to this curated collection of JEE Mains Previous Year Questions (PYQs) from Chapter 14: Oscillations. This chapter is crucial for your JEE preparation, with questions often based on concepts like simple harmonic motion (SHM), time period, frequency, and energy in oscillations. 📘 These questions are perfect for quick revision, helping you master important concepts and boost your accuracy and speed in the exam.
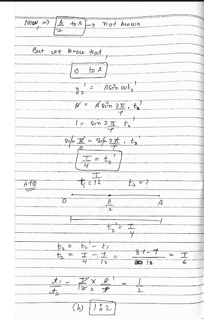
1. A particle execute simple harmonic motion between x = -A and x = +A the time taken for it to go from 0 to A/2 is T1 and to go from A/2 to A is T2 . Then how are T1 and T2 related ?
(a) T1 = T2
(b)T1 = T2/2
(c)T1=2T2
(d)T1/2=T2 JEE2001
Ans.
2. Two bodies M and N of equal masses are suspended from two separate massless springs of spring constants k1 and k2 respectively if two bodies oscillate vertically such that their maximum velocity are equal then find the ratio of the amplitude of M to that of N .
(a) k1/k2
(b) √k1/√k2
(c) k2/k1
(d) √k2/√k1
JEE2003
Ans.
3. The mass M shown in figure oscillates in simple harmonic motion with amplitude A . The amplitude of the point P is . IIT2009
(a)k1A
(b)k2A/k1
(c)k1A/k1+k2
(d)k2A/k1+k2
Ans.
4. Two springs of force constant k1 and k2 are connected to a mass 'm' as shown in figure.
The frequency of oscillation of the mass is v. if the both k1 and k2 are made 4 times there original values the frequency of oscillation becomes .
(a)v/2
(b)v/4
(c)4v
(d)2v JEE2007
Ans
5. A spring of force constant 800 N/m has no extension of 5 cm. The work done is extending it from 5 cm to 15 cm is .
(a)8J
(b)16J
(c)24J
(d)32J JEE2002
Ans.
6. The spring of spring constant 5 × 10³ N/m is stretched initially by 5cm from the unstretched position then the work done is stretch it further by another 5 cm is .
(a)6.25Nm
(b)12.50Nm
(c)18.75Nm
(d)25.00Nm JEE2003
Ans.
7. A simple harmonic motion is represented by
its time period ?
JEE2005
Ans.
8. The maximum velocity of a particle executing simple harmonic motion with an amplitude 7mm, is 4.4m/s . The period of oscillation is .
(a) 0.01s
(b)0.1s
(c)10s
(d)100s JEE2006
Ans.
9. A mass 'M' attached two horizontal executes SHM with amplitude A1 when the mass 'M' passes through its mean position then the smaller mass 'm' is placed over it and both of them move together with amplitude A2 the ratio of [A1/A2] is :
(a)M/M+m
(b)M+m/M
(c)√M/√M+√h
(d)√M+√m/√M JEE2011
Ans.
10. A particle of mass m executes SHM with amplitude 'a' and frequency 'v' the average kinetic energy during its Motion from the position of equilibrium to the end is .
(a)π²ma²v²
(b)1/4π²ma²v²
(c)4π²ma²v²
(d)2π²ma²v² JEE2007
Ans.
Access the detailed, well-explained solutions for all JEE PYQs from Oscillations in a single, downloadable PDF. Perfect for quick reference and last-minute revision!














